امروزه مواد شیمیایی گوناگون نقشهای مهمی در زندگی ما انسانها دارند. یکی از این مواد شیمیایی دیمتیل فرمامید است که به اختصار به آن DMF نیز گفته میشود. دیمتیل فرمامید یکی از مادههای پرکاربرد شیمایی است که در حال حاضر در صنایع مختلف استفاده میشود. این ماده با فرمول C3H7NO شناخته میشود. برای آگاهی یافتن از این که دیمتیل فرمامید چیست و چه کاربردهایی دارد در ادامه مقاله نکات مهمی ذکر شده است.
فهرست مطلب
دیمتیل فرمامید چیست؟

دیمتیل فرمامید (N,N-Dimethylformamide) یک ترکیب آلی و مایعی کاملا بیرنگ است. این مایع بی رنگ قابلیت ترکیب شدن با آب و اکثر مایعات را داراست. کاربرد اصلی این ماده به عنوان حلال برای واکنشهای شیمیایی است. دیمتیل فرم آمید بی بو است؛ اما نمونههایی از آن به دلیل ناخالصی بویی شبیه به ماهی دارند.
این ماده را به کمک گازهایی مانند آرگون یا استفاده از روش فراصوت ناخالص میکنند. این ماده یک حلال قطبی آب دوست است که نقطه جوش نسبتا بالایی دارد. به همین دلیل از این ماده بیشتر در واکنشهایی که مکانیسم قطبی در آنها هست مانند واکنشهای SN2 استفاده میشود.
خواص فیزیکی و شیمیایی دیمتیل فرمامید چیست؟
| فرمول شیمیایی | C3H7NO |
| جرم مولی | 73.095 (g·mol−1) |
| شکل ظاهری | مایع بی رنگ متمایل به زرد کمرنگ |
| بو | بوی ماهی مانند |
| دانسیته | 0.948 (g/mL) |
| نقطه ذوب | −60.4 °C |
| نقطه جوش | 153 °C |
| حلالیت در آب | انحلال پذیر |
دیمتیل فرمامید در شرایط مختلف چه واکنشی دارد؟

پس از بررسی این ماده، به شرح واکنشهای مختلف آن میپردازیم. دیمتیل فرمامید توسط اسیدها و بازهای قوی تر به ویژه هنگامی که دما بالا باشد، به راحتی هیدرولیز میشود. این ماده در ترکیب با هیدروکسید سدیم به دیمتیل آمین تبدیل میشود. همچنین امکان به دست آوردن دیمتیل آمین با به نقطه جوش رساندن این ماده نیز وجود دارد. به همین دلیل در هنگام استفاده از دیمتیل فرمامید معمولا دما را پایین نگه میدارند تا خواص آن را حفظ کنند.
دیمتیل فرمامید چگونه تولید میشود؟

دیمتیل فرمامید برای اولین بار توسط شیمی دان فرانسوی آلبرت ورلی در سال 1893 شکل گرفت. او با تقطیر مخلوطی از دیمتیل آمین هیدروکلراید و فرمت پتاسیم، دیمتیل فرمامید را تولید کرد. دیمتیل فرمامید امروزه با ترکیب متیل فرمات و دیمتیل آمین تولید میشود. همچنین امکان تهیه آن با واکنش دیمتیل آمین با مونوکسیدکربن نیز وجود دارد.
یک روش غیر معمول دیگر برای تولید دیمتیل فرمامید استفاده از دیاکسیدکربن فوق بحرانی به همراه کاتالیزورهای مبتنی بر روتنیم است. این روش در حال حاضر عملی نیست و در صورت امکان نیز از نظر اقتصادی اصلا به صرفه به نظر نمیرسد.
دیمتیل فرمامید چه کاربردهایی دارد؟

اکنون که با این ماده مفید تا حدودی آشنا شدید، در این بخش به شما توضیح خواهیم داد که دیمتیل فرمامید چیست و چه کاربردهایی دارد. فواید و کاربردهای این ماده بی شمارند. اصلیترین و مهمترین فایده این ماده، استفاده از آن به عنوان یک حلال با نرخ تبخیر کم است. به همین دلیل است که از این ماده بیشتر در تولید الیاف اکریلیک و پلاستیکی استفاده میکنند. همچنین این ماده میتواند به عنوان یک حلال در جفت پپتیدی برای داروها استفاده شود. علاوه بر این موارد متیل فرمامید در تولید آفتکشها، چسبها، چرمهای مصنوعی، الیافها، فیلمها و پوششهای سطحی نیز کاربرد دارد.
برخی دیگر از کاربردهای دیمتیل فرمامید را در موارد زیر ارزیابی میکنیم:
- دیمتیل فرمامید یک حلال پرکاربرد در واکنش هک است.
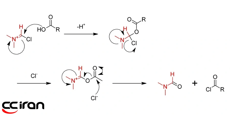
- دیمتیل فرمامید میتواند به عنوان یک کاتالیزور در سنتز آسیل هالیدها به ویژه سنتز کلریدهای آسیل از اسیدهای کربوکسیلیک عمل کند. البته برای عملکرد این ماده به عنوان کاتالیزور باید از اگزالیل یا تیونیل کلرید نیز استفاده شود.
- دیمتیل فرمامید میتواند به پلاستیکها نفوذ کند و باعث تورم آنها شود؛ از این رو از این ماده میتوان برای تولید پاک کنندههای رنگ استفاده کرد.
- دیمتیل فرمامید به عنوان یک حلال برای بازیابی الفینهای مانند 3و1–بوتادین از طریق تقطیر استخراجی استفاده میشود.
- دیمتیل فرمامید را در ساخت رنگهای حلال به عنوان ماده خام استفاده میکنند. همچنین امکان استفاده از آن به صورت مستقیم نیز وجود دارد.
- گاز استیلن خالص را هیچگاه نمیتوان فشرده کرد؛ زیرا ممکن است منفجر شود. استیلن را زمانی میتوان فشرده کرد که یک ماده دیگر در کنار آن وجود داشته باشد. بهترین ماده برای این کار گاز استیلن دیمتیل فرمامید است. گاز استیلنی که با دیمتیل فرمامید فشرده باشد، ایمن است و دیگر نگرانی از بابت انفجار آن وجود ندارد.
شرایط و نکات ایمنی دیمتیل فرمامید

دی متیل فرمامید را فقط باید در مکانی که هیچ گونه ماده قابلی اشتعالی وجود ندارد نگهداری کرد. این ماده به شدت با اسید سولفوریک و اسید نیتریک واکنش میدهد. همچنین در صورت نگهداری بیشتر از یک لیتر حتما باید ظرفهای مخصوص فلزی تهیه کرد که در آنها محکم بسته باشد. برای ایمنی بیشتر نیز بهتر است دیمتیل فرمامید به دور از هرگونه ماده اسیدی و یا بازی قرار گیرد تا از بروز خطرات جلوگیری شود.
در رابطه با نکات ایمنی دیمتیل فرمامید، ذکر این نکته ضروری است که این ماده نباید با مواد دیگری مانند هیدرید سدیم ترکیب شود؛ زیرا خطرناک است و در این صورت ممکن است منفجر شود.
مسمومیت با فرمامید
دی متیل فرمامید ترکیب شیمیایی به شدت سمیای است. به همین علت تمامی افرادی که با این ترکیب شیمیایی در ارتباط هستند، میبایست از لباس و دستکشهای محافظ استفاده کنند. چرا که در صورت تماس این محصول شیمیایی با پوست انسان میتواند باعث سوختگی پوست شود و حتی بخار آن هم مضر است به همین دلیل استفاده از عینک محافظ و ماسک به افرادی که به صورت مکرر در مجاورت این ماده قرار دارند، توصیه میشود.
سوالات متداول
-
آیا دیمتیل فرمامید سمی است؟
این ماده یک سم قوی است که به شدت روی کبد اثر میگذارد و میتواند باعث تهوع، سردرد، سرگیجه، استفراغ، ضعف، مشکلات پوستی و... میشود.
-
آیا باکتریها در دیمتیل فرمامید رشد میکنند؟
خیر هیچ باکتریای قابلیت رشد در این ماده را ندارد چون این ماده فعالیت بازدارندگی دارد.
-
دی متیل فرمامید اسیدی است یا بازی؟
این ماده یک باز قوی محسوب میشود و Pka آن بین 0 تا 3 میباشد.
-
آیا دیمتیل فرمامید با آب حل میشود؟
این ماده را یک حلال جهانی میشناسند و این ماده قابل اختلاط با آب و هر مایع آلی میباشد.
نتیجهگیری
مواد شیمیایی بخش بسیار مهمی از صنایع را تشکیل میدهند و به کمک آنها مواد و محصولات بسیار متنوعی تولید میشود. یکی از مواد شیمیایی که کاربرد بسیار زیادی نیز دارد، دیمتیل فرمامید است. برای این که در رابطه با این ماده به طور کامل اطلاع کسب کنید، ما در این مقاله در رابطه با این که دیمتیل فرمامید چیست و چه کاربردهایی دارد مطالب مهمی را بیان نمودیم.







